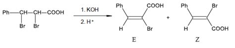
what is dehydrobromination. There are any references about what is dehydrobromination in here. you can look below.