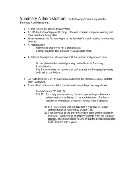
order of summary administration florida pdf at x28b9503.blogspot.com

order of summary administration florida pdf

order of summary administration florida pdf

order of summary administration florida pdf. There are any references about order of summary administration florida pdf in here. you can look below.

Showing posts matching the search for order of summary administration florida pdf